●问题的内容
本次的问题源于类似下面的经历。
对于转速的提高,人们很容易直观的认为,“这是由于两节电池的功率(电压?)变成了原来的两倍”,但是,当深入思考电压和转速之间究竟存在怎样的关系时,就会感到困惑不解,进而希望知晓更为详尽的缘由。

当把两节电池串联连接时,有刷电机的转速的确会上升。像这样将电池串联起来提升功率的情况,想必有人在使用小灯泡时体验过吧。当使用两节电池时,小灯泡会比使用单节电池时更亮。所以,对于电机转速上升这件事可能并不会觉得有什么奇怪的。然而,并非所有电机都遵循这一规律,事实上,有的电机即便提高电压,转速也不会改变。比如说步进电机和感应电机就是转速不会随着电压的升高而上升的电机。另外,转速会上升的电机是有刷电机和无刷电机。那么,这些电机之间的区别是什么呢?下面我们首先从这一点切入,开始讲解。
转速不变的电机与转速可变的电机之间的区别
当改变电压时,转速不变的电机与转速可变的电机在旋转磁场的控制策略上存在差异(※在此处的说明中,“控制策略”可能比“控制方法”更为恰当)。
转速不变的电机,是通过控制使磁场旋转的速度,使转子跟随该磁场转动,从而驱动电机运行。下面我们借助下图来对这类电机的具体运行动作进行说明。该图是步进电机的运行示例。
首先,假设控制电路在图中1的位置处形成了一个电磁体(绕组磁场)。此时,转子就会像被该电磁体吸引一样开始旋转。绕组磁场会在位置2处等待转子跟进,但实际上并不是确认转子是否已经完全跟上,而是在预估 “转子差不多该跟进到位”的时间点,切换电磁体,将磁场旋转到位置3。若转子在图中位置2阶段已完成跟进,当状态进入位置3时,转子又会被电磁体吸引而开始转动。步进电机正是通过不断重复上述动作实现持续运转的。因此,电机的转速取决于旋转磁场的速度。
在此我们探讨一下,例如若提高施加在绕组上的电压会怎样呢?在这种情况下,由于电磁体的磁力会增强,这使得转子能够更迅速地跟进。然而,即使转子能够很快的跟进,若电磁体的磁场不动,转子便无法进一步转动。因此,相较于电压较低的情形,下图中2和4的状态会持续更长时间,而电机的转速仍然是由磁场的转速所决定的。

感应电机的运行方式与上图所示略有不同,通过使磁场旋转,转子会滞后地跟随(一边滑动一边跟随),所以可以说旋转磁场的速度决定了感应电机的转速。
另一方面,转速可变的电机则根据转子的位置来调整电磁体的磁场旋转,形象地说,当转子接近时,磁场随即远离。此类电机的运行方式如下图所示。为便于与上述转速不变的电机进行对比,该图以两相全波无刷电机的运行情况为例。
当转子处于图中的位置1时,无刷电机的控制电路会检测其位置,并在图中相应位置形成电磁体。电磁体的形成会吸引转子靠近。接着,控制电路会在转子跟上之前,将电磁体磁场移至位置2。由于电磁体磁场远离转子,转子就会持续追赶。当转子接近位置3时,磁场再次移动。由于无刷电机不断重复这一运转过程,所以电机的转速取决于转子跟随的速度。首先,这种控制方法就是电机转速变化的因素之一。
接下来,我们来探讨一下提高绕组电压会对电机产生什么影响。这个问题稍微有些复杂。简单来说,当电压升高,电磁体的磁力增强,转子追赶磁场的速度也会加快,从而导致转速上升。然而,仅这样解释就与 “功率增加导致转速上升”的解释并无太大区别了。因此,我们希望在这里进行更深入的探讨。
需要注意的是,本文讨论的问题是有刷电机相关的,有刷电机与无刷电机不同,其结构是让电磁体旋转。尽管如此,由于电磁体切换的动作等与无刷电机相同,所以和无刷电机一样,其转速也会随着电压的变化而改变。

电机的转速是如何确定的?
如前所述,转速会随电压变化的电机,是旋转磁场会根据转子的运动而变化的电机。这里假定这种旋转磁场的变化是自动进行的。基于该前提,我们在此仅简单探讨一下作用于转子的力,以及该力与转子转速之间的关系。
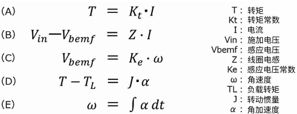
首先来解释一下作用在转子上的力(旋转力,即转矩)是如何确定的。一般来说,电机的转矩(\(T\))与绕组中通过的电流(\(I\))成正比。下式中的\(K_t\)为转矩常数。

接下来,我们探讨绕组中的电流是如何确定的。在无刷电机和有刷电机的绕组中,流过的电流是由施加的电压(\(V_{in}\))减去一个被称为感应电压(\(V_{bemf}\))的电压值,再除以绕组的阻抗(\(Z\))来确定的(见下式)。这个感应电压,是在使用永磁体的电机中,由于转子旋转而产生的发电电压。它通过感应电压常数(\(K_e\))与角速度(\(ω\))相乘得出。
(※此处的电流\(I\),严格来讲与上述的\(I\)并非完全相同。此外,关于直流量和交流量的表述也存在不够准确的地方,为了便于理解各物理量之间的关系,此处选择以这种形式进行描述。)

由此可知,作用于转子的旋转力(转矩)是由施加的电压和电机的转速共同决定的(因为转矩与电流成正比,而该电流是由施加电压和感应电压等计算得出的,感应电压又与角速度(转速)成正比)。
那么,仅凭这个关系式还无法解释施加的电压与转速之间的关系。接下来,我们将对该电机转矩与转速之间的关系进行解说。
首先,关于作用在物体上的力(\(F\))与速度(\(v\))之间的关系可以用以下两个公式来表示,想必很多人在物理课上都学过。第一个公式是力和质量(\(m\))产生加速度(\(a\)),第二个公式是加速度的积分得到速度。

这一点对于旋转体同样适用。旋转力(\(T\))与角速度(\(ω\))之间的关系,可以用以下两个公式来表示。由旋转力(转矩)和转动惯量(\(J\))会产生角加速度(\(α\)),对角加速度进行积分即可得到角速度。

对于电机而言,如果给电机加上诸如螺旋桨(风扇)等负载,为驱动该负载所需的负载转矩(\(T_L\))就会从旋转力中减去。所以,在此我们将包含负载转矩的以下两个公式,视为描述电机的旋转力(转矩)与转速之间关系的公式。

至此,用于说明施加电压与转速(角速度)之间关系的公式已具备。接下来,我们将运用这些公式来阐述转速是如何确定的。

首先,当转速确定时,意味着转速(角速度)不再发生变化。从上述公式(E)可知,这种状态表示角加速度变为零。根据公式(D),当转矩与负载转矩值相等时,角速度为零。产生转矩的公式可以通过结合公式(A)、(B)和(C)得到的公式(F)来表示。观察公式(F),可以理解为转矩是通过分子部分(\(V_{in}\)-\(K_e\)・\(ω\))进行调节的。
基于上述内容可知,例如当施加某一特定电压时,电机的转速会达到一个使电机产生的转矩与负载转矩相等的值。由此可知,当施加电压发生改变,转矩也会随之变化,进而转速会相应改变,直至再次达到转矩与负载转矩相等的稳定状态。这便是电机转速如何确定的答案。

基于上述结论,我们回到最初的问题,尝试解释为什么将电池数量增加至两节时电机转速会提高。前提是螺旋桨负载与转速的平方成正比,同时假设常数\(K_t\)、\(Ke\)、\(Z\)等均为1。
在公式(F)中,假设使用单节电池时,施加电压是1.5V,那么在转速为1.0时,转矩与负载转矩达到平衡。当使用两节电池时,施加电压变为3.0V,如果转速仍然保持在1.0,那么转矩将变为2.0,这就导致转矩与负载转矩不再平衡。由于此时转矩大于负载转矩,因此电机将开始加速(公式(D))。随着转速的增加,转矩会减小,而负载转矩会增加。最终,当转速达到1.65时,转矩与负载转矩再次达到平衡,电机运行趋于稳定。

另外,或许有人会想:“如果负载转矩的常数不是0.5,而是更大的话,还能断言转速一定会增加吗?”对于螺旋桨负载的情况,是可以这样断言的。因为当施加电压升高使得转矩增大时,为了使转矩与负载转矩达到平衡,唯一的途径就是提高转速。
将这些公式绘制成图形,会更易于理解。图中,纵轴表示转矩,横轴表示转速。将各常数带入转矩公式后得到\(T = -A\omega + BV_{\text{in}}\),其图形为一条向右下方倾斜的直线。\(V_{in}\)改变时,该直线会平移。负载转矩公式中,若将常数设为\(C\),\(T_L=C{ω2}\),其图形为二次函数曲线。这两条曲线的交点即为电机实际运行时的转速和转矩。
当施加电压(\(V_{in}\))发生变化时,两条曲线的交点会随之移动,转速(\(ω\))也随之改变。从图中可以看出,当施加电压升高时,转速也会相应升高(\(\omega_{a1} \rightarrow \omega_{a2}\)、\(\omega_{b1} \rightarrow \omega_{b2}\))。

至此,关于“为什么电机在提高电压时,转速会随之上升?”这一问题的讲解就结束了。
本文的关键要点:
・能根据转子运动产生旋转磁场的电机,其转速会随电压的变化而改变。
・电机的转速会在电机转矩与负载转矩相等时趋于稳定。
・由于电机转矩与施加电压和转速相关,因此当电压升高时,转速也会随之上升。











